恰风和医药擅长有机反应类型
我们擅长的有机反应
1 喹啉类合成法:
芳香伯胺与一分子醛及一分子甲基酮在浓盐酸或 ZnCl2 存在下,反应生成喹啉类化合物。
2 吲哚类合成法:
醛和酮苯腙类与 ZnCl2 一起加热,发生重排,分子内缩合,脱氨环化等作用,最后生成吲哚类化合物。
3 傅克烷基化:
芳烃与烷基卤试剂在路易斯酸存在下,生成烷基芳烃。烷基化试剂除卤代烷外,醇类、烯烃、甲苯 磺 酸 烷 基 酯 亦 可 。 各 种 路易 斯 酸 的 催 化 效 应 : AlCl3>FeCl3>
SbCl5>SnCl4>BF3>TiCl4>ZnCl2。醇类至少需 1mol 路易斯酸作催化剂。因为反应中生成的水使等摩尔的催化剂失去活性,对于卤代烷和烯烃来说,催化量就已足够。酚类的反应较令人满意(P258~259),而低碱度的芳烃如硝基苯、吡啶都不能反应。
4 吡咯类合成法:
在氨或伯胺类作用下,α-卤代甲基酮和乙酰乙酸乙酯进行环化反应,再消除 HCl 和H2O,产生吡咯羧酸酯。
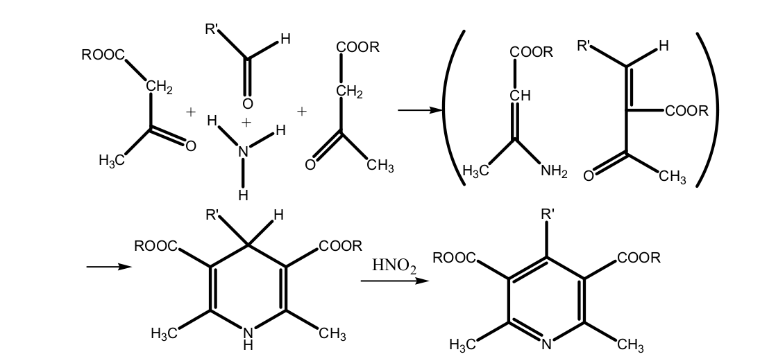
5 吡啶类合成法:
乙酰乙酸酯和氨或伯胺及醛类反应,可得到二氢吡啶,其再用亚硝酸脱氢,产生吡啶类衍生物。此反应对吡啶类衍生物的合成是非常有用的。
- 上一篇:没有啦
- 下一篇:2013中国国际化工展览会9月举办 2013/7/31
